温度对锂离子电池极片工艺的影响
锂离子电池性能受到众多因素的影响,这其中不仅仅包括电池设计、原材料、工艺水平、设备精度等方面,还包括生产环境因素,比如温度、粉尘和水分。
即使少量的杂质也会对锂离子电池的循环稳定性和安全性造成不利影响;水分的控制非常关键,微量水分就会与电解液发生反应,产生不利影响,商业化锂离子电池在环境水分严格控制的大型干燥间内生产,所有部件在电池组装前都要进行干燥。而温度对电池的影响也是多方面,多工艺过程的。因此,我们必须高度重视生产过程,并严格控制质量。锂电池的生产包括极片制造工艺、电池组装工艺以及最后的注液、预充、化成、老化等。
本文针对温度在极片生产工艺中的影响进行整理,分享给大家。
温度的定义
温度是表示物体冷热程度的物理量,微观上来讲是物体分子热运动的剧烈程度。从分子运动论观点看,温度是物体分子运动平均动能的标志。温度是大量分子热运动的集体表现,含有统计意义。分子运动愈快,物体愈热,即温度愈高;分子运动愈慢,物体愈冷,即温度愈低。
热力学第零定律
如果两个热力学系统中的每一个都与第三个热力学系统处于热平衡(温度相同),则它们彼此也必定处于热平衡。这一结论称做“热力学第零定律”。这个定律反映出:处在同一热平衡状态的所有的热力学系统都具有一个共同的宏观特征,这一特征是由这些互为热平衡系统的状态所决定的一个数值相等的状态函数,这个状态函数被定义为温度,而温度相等是热平衡之必要的条件。热力学第零定律用来作为进行体系测量的基本依据,其重要性在于它说明了温度的定义和温度的测量方法。
热传递的三种方式
热从温度高的物体传到温度低的物体,或者从物体的高温部分传到低温部分,这种现象叫做热传递。发生热传递的唯一条件是存在温度差,与物体的状态,物体间是否接触都无关。在热传递过程中,物质并未发生迁移,只是高温物体放出热量,温度降低,内能减少(确切地说是物体里的分子做无规则运动的平均动能减小),低温物体吸收热量,温度升高,内能增加。因此,热传递的实质就是内能从高温物体向低温物体转移的过程,这是能量转移的一种方式。热传递有三种方式:传导、对流和辐射。
热从物体温度较高的部分沿着物体传到温度较低的部分,叫做传导。各种物质都能够传导热,但是不同物质的传热特性不同。
靠液体或气体的流动来传热的方式叫做对流,对流是液体和气体中热传递的主要方式,气体的对流现象比液体更明显。利用对流加热或降温时,必须同时满足两个条件:一是物质可以流动,二是加热方式必须能促使物质流动。
热辐射是指物体由于具有温度而辐射电磁波的现象,一切温度高于绝对零度的物体都能产生热辐射,温度愈高,辐射出的总能量就愈大,短波成分也愈多。由于电磁波的传播无需任何介质,所以热辐射是在真空中唯一的传热方式。
锂离子电池工艺过程
传统的商业化锂离子电池极片工艺过程为:活性物质,粘结剂和导电剂等混合制备成浆料,然后涂敷在铜或铝集流体两面,经干燥后去除溶剂形成干燥极片,极片颗粒涂层经过压实致密化,再裁切或分条。然后正负极极片和隔膜组装成电池的电芯,封装后注入电解液,经过充放电激活,最后形成产品。具体的电池工艺流程如图1所示。

图1 工艺流程图
提高温度抑制浆料沉降
在锂离子电池浆料中,活性物质、导电剂分散悬浮在溶解了有机物粘结剂的溶剂中,悬浮颗粒受到布朗力、浮力和本身重力作用。
悬浮在流体中的微粒表现出无规则运动,这种微粒的运动称之为布朗运动。液体分子不停地做无规则的运动,不断地随机撞击悬浮微粒。因此,布朗运动是大量分子做无规则运动对悬浮的固体微粒各个方向撞击作用的不均衡性造成的,所以布朗运动是大量液体分子集体行为的结果。悬浮颗粒受到布朗力FB作用,表达式如下式所示,其中kB是布朗常量,1.381×10 −23 J/K ;r是悬浮颗粒半径,m;Tabs是绝对温度,K。

颗粒越小,颗粒的表面积越小,同一瞬间,撞击颗粒的液体分子数越少,据统计规律,少量分子同时作用于小颗粒时,它们的合力是不可能平衡的。而且,同一瞬间撞击的分子数越少,其合力越不平衡,又颗粒越小,其质量越小,因而颗粒的加速度越大,运动状态越容易改变,故颗粒越小,布朗运动越明显。
温度越高,液体分子的运动越剧烈,分子撞击颗粒时对颗粒的撞击力越大,因而同一瞬间来自各个不同方向的液体分子对颗粒撞击力越大,小颗粒的运动状态改变越快,故温度越高,布朗运动越明显。
另外,悬浮颗粒还受到重力和浮力的作用,这两者的合力Fg表达式为:

其中,ρp 和 ρm 分别是粒子和溶剂的密度,kg/m3;r是悬浮颗粒半径,m;g 是重力加速度,9.81 m/s2。
不规则的布朗运动阻止颗粒沉降,而重力作用使颗粒发生沉降。对于大多数溶剂中的胶体粒子,布朗力占主导地位。然而,对于锂离子电池浆料,许多活性物质颗粒尺寸比较大,而且活性物质(尤其是正极)的密度通常比溶剂(例如NMP)大得多,除非在涂覆前连续搅拌,否则浆料容易发生沉降。
根据以上两个公式可知,减弱甚至避免沉降现象的方法主要包括:(i)选择与活性材料密度相匹配的溶剂,使ρp = ρm ;(ii)减小活性粒子尺寸r;(iii)增加固体含量,从而使介质密度增加;(iv)提高温度。前两种方法需要改变浆料成分,这会影响制造工艺和电化学性能,第三种方法会增加浆料的粘度,从而缩小涂层窗口。第四种方法提高温度,提高了沉降阻力,可以有效抑制沉降。
温度对浆料性质的影响
锂离子电池浆料搅拌工艺要达到以下目的:
a、分散活物质和导电剂颗粒团聚体;
b、打开导电剂长链,进一步分散链状导电剂;
c、形成最合适的活物质、导电剂和粘结剂彼此之间的排布方式;
d、维持浆料最优悬浮结构和成分稳定性,防止沉降和团聚等成分偏析。
导电剂的分布方式如图2所示,锂离子电池浆料分散悬浮液中可能的物质分布存在三种情况:导电剂没有充分分散,保持团聚,被粘结剂包裹会形成大颗粒;导电剂分散但与活性颗粒相互独立;导电剂分散并均匀包覆在活性颗粒表面,这是最理想的情况。

图2 浆料导电剂可能的分布结构示意图
粘结剂与活性物质的相互作用如图3所示:(a)聚合物链与颗粒表面作用,然后聚合物之间的静电作用阻止颗粒的团聚;(b)粘结剂相成三维网络结构,空间位阻作用阻止颗粒的团聚;(c)粘结剂与活性物质颗粒表面作用,将颗粒之间连接在一起,这是浆料形成凝胶结构,粘度比较高,且无法流动。

图3 粘结剂的分散稳定作用
随着温度的升高,浆料内部液体分子的无规则热运动、聚合物链的运动和悬浮颗粒的布朗运动都会增加。研究温度对NMC532正极浆料流变特性的影响。不同温度下,浆料应力与剪切速率的曲线如图4所示。结果表明,在剪切速率约为1.0 s-1的范围内,所有温度下流体都表现出剪切应力平台,从而验证了在所有温度范围内浆液都存在屈服应力(见图4)。从25℃到60 ℃范围内,屈服应力随温度的升高而增加,但在75℃时屈服应力下降到25℃的水平。
从25℃到60 ℃范围内,随着温度升高,吸附在颗粒表面的粘结剂形成了较多的颗粒-聚合物联结和纠缠。这些连接使得浆料在屈服应力之前的低剪切速率下具有较大的流动阻力,如图4所示。而在75 ℃时,屈服应力的降低可能是由于颗粒的高振动导致一些聚合物链接被撕裂。

图4 正极浆料在不同温度下应力-剪切速率曲线
由于液体不能承受剪切力,因而不能保持其外形的稳定。在外力的作用下,液体发生流动和变形等的性质,称为流变性。实际流体可分为牛顿型流体与非牛顿型流体。所有的气体和大多数的液体都属于牛顿型流体,其剪应力(σ)与速度梯度成正比,比例系数(μ)即为黏度。对于大多数非牛顿型流体,剪应力(σ)与剪切速率(γ)的n次幂成正比,比例系数(K)为稠度系数,指数(n)为流变指数。

根据以上公式对图4所示曲线做拟合,得到不同温度下浆料的流变参数,如表1所示。当n=1时流体为牛顿流体;所有的浆料流变指数n<1,符合剪切变稀行为。当 n 越接近0时,剪切变稀的程度越大。流动指数在40℃至60℃之间最低,,如前所述,在这个温度范围内,粘合剂与固体颗粒的链接随着温度升高增加了,随着剪切速率增加,这种链接迅速减少,剪切变稀程度大。而75℃下,颗粒的高振动动能导致一些聚合物链接被撕裂,剪切速率所能破坏的链接数量有限,剪切变稀程度减弱。同理,由于聚合物与颗粒链接增加,在40℃至50℃之间稠度系数最大。

不同温度下粘度-剪切速率流变曲线如图5所示。温度对粘度的影响可以分为两个区域:低剪切速率粘度(LSV)和高剪切速率粘度(HSV)。在低剪切速率粘度(LSV)区域,从25℃到60 ℃范围内,黏度随温度的升高而增加,但在75℃时黏度下降到25℃的水平。在高剪切速率粘度(HSV)区域,75℃时浆料具备更低的黏度。这些现象如前描述的聚合物与颗粒之间的链接相关。

图5 不同温度下粘度-剪切速率流变曲线
低剪切速率粘度(LSV)会影响涂层的边缘效应,较高的LSV能够消除锯齿边缘,使涂层具有更清晰的边界。另一方面,由于大多数涂布操作都期望采用更高的速度,这相应于更高的剪切速率(即几百s-1) ,因此,将温度提高到75℃有利于降低黏度,利于涂布操作。另外,因为粘度的变化可以通过加热来抵消,浆料中活性物质的比例可以提高, 固体颗粒浓度增加使溶剂的用量减少,从而可以采用更短的时间、更少的热能和更安全的涂布干燥条件。
虽然浆料加热能够给涂布带来好处,但必须确保所做的极片具有良好的循环性能。如图6所示,在混料和涂布过程中加热使浆料温度适度升高,不会对电极性能产生大的负面影响。

图6 不同温度处理的浆料的电化学性能
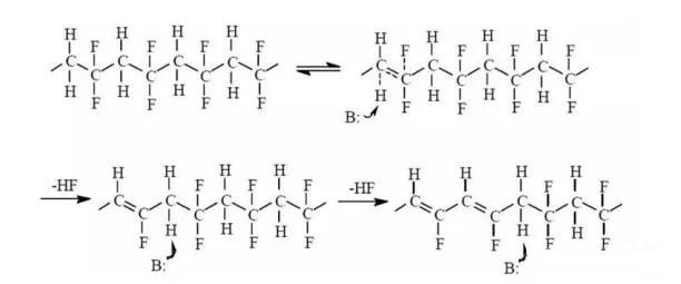
温度加剧浆料形成凝胶
在高镍正极浆料制备过程中,PVDF溶解于NMP中,材料表面的碱性基团会攻击相邻的C-F、C-H键,PVDF很容易发生双分子消去反应,会在分子链上形成一部分的碳碳双键,反应如下:

当PVDF内双键増加时,其粘结力也会増加,这会导致浆料粘度増加,甚至浆料形成凝胶状态。因此,高镍正极浆料在制备和涂布过程,环境湿度对其影响巨大,如果在工艺过程中吸水反应,特别容易造成浆料性质发生变化,导致极片制造过程出现品质不稳定,工艺一致性差等问题,形成凝胶浆料时,甚至涂布过程无法进行。而且,当PVDF内双键増加导致粘结力増加时,极片脆性増加特别容易发生断裂,极片辊压、分切等工艺收放卷过程中,极片断裂造成工艺过程无法进行。
而温度会加速PVDF内双键反应,从而急剧浆料形成凝胶。这是温度对浆料,特别是高镍材料的负面影响。
温度对涂布过程的影响
要形成均匀稳定涂布,必须满足以下条件:
(1)浆料性质稳定,不发生沉降,粘度、固含量等不变化;
(2)浆料上料供应稳定,在模头内部或涂辊及转移辊上形成均匀稳定的流动状态;
(3)涂布工艺在涂布窗口范围内,在涂辊之间形成稳定的流场;
(4)走箔稳定,不发生走带滑动,严重抖动和褶皱:张力、纠偏控制。
涂布过程主要受到三类因素的影响:(1)流体特性,如粘度μ、表面张力σ、密度ρ;(2)涂布模头几何参数,如涂布间距G,模头狭缝尺寸S;(3)涂布工艺参数,如涂布速度U,浆料送料流量q等。
温度主要通过影响浆料性质,间接对涂布过程产生影响。所前面所述,低剪切速率粘度(LSV)会影响涂层的边缘效应,较高的LSV能够消除锯齿边缘,使涂层具有更清晰的边界。另一方面,由于大多数涂布操作都期望采用更高的速度,这相应于更高的剪切速率(即几百s-1) ,因此,将温度提高到75℃有利于降低黏度,利于涂布操作。另外,因为粘度的变化可以通过加热来抵消,浆料中活性物质的比例可以提高, 固体颗粒浓度增加使溶剂的用量减少,从而可以采用更短的时间、更少的热能和更安全的涂布干燥条件。
温度对极片烘干的影响
锂离子电池极片的干燥过程和涂布过程各自独立,又相互联系;涂层的性质,影响到干燥工艺的设计和操作;涂布速度、涂层的厚度决定干燥长度;干燥过程中涂层有流平过程,影响涂层的均匀性。因此,涂布在设计过程中能否准确地运用最佳的涂布、干燥工艺,平衡两者的关系,最终影响到涂布的综合技术性能。
极片干燥方式包括:
(1)远红外辐射干燥。用远红外发射元件将热能辐射到干燥物体表面,使液体蒸发汽化进行干燥。特点:其干燥速度主要取决于辐射温度,温度高,干燥速度快。其优点是设备比较简单,因此都在比较低挡的涂布机中应用。其缺点是干燥效率低,干燥不均匀,容易产生干燥弊病。
(2)双面送风飘浮干燥。漂浮干燥是在干燥箔材双面设置特殊设计的风嘴,送高速喷射的气流,在空气流动附壁效应的作用下,垂直作用到干燥箔材上,在气流的作用下,干燥片材呈漂浮状态进行干燥。
(3)常规对流热风干燥。对流干燥是比较传统的干燥技术。加热的干燥空气送入烘道,干燥空气中的热能通过空气的对流传导到被干燥物体,使液体蒸发汽化进行干燥。其优点是设备简单,其缺点是干燥效率低,在现代干燥设备中逐渐被高效热风冲击干燥所取代。
(4)循环热风冲击干燥。利用空气喷射流体力学原理发展起来的高效干燥技术。干燥空气通过特殊设计的风嘴,以高速喷射到被干燥物体表面,在干燥物体表面阻碍干燥静止空气层在冲击作用下被破坏,从而加快了干燥过程,使干燥效率大大提高。 循环热风冲击干燥的特点是:干燥速度和温度有关,而且和干燥风量有关。可以通过部分循环干燥空气送风加大风量提高干燥速度,大大提高干燥空气的热量的利用,因此循环热风冲击干燥具有高效节能的特点。另外用增大送风量来提高干燥速度,可以避免采用高温干燥可能产生的龟裂干燥弊病。
(5)过热水蒸气干燥。过热蒸气是将液体加热到使其全部蒸发的饱和蒸气后,再继续加热而获得的蒸气。过热蒸汽干燥是干燥介质直接与湿涂层接触,其热量主要以对流方式传入物料,干燥析出的溶剂被干燥介质带走的一种新兴的干燥方式。在干燥过程中,过热蒸汽作为干燥介经过物料表面,热量传给湿涂层,涂层表面的自由溶剂受热汽化,从而造成物料表面与内部湿分浓度的差异。在这一差异下,内部湿分就由液态或气态的形式向表面扩散,气化的水蒸汽由过热蒸汽气流带走。其优点是可以利用蒸汽的潜热,热效率高,可达到节约能源的效果,过热蒸汽干燥要比热风干燥的传热系数大。
(6)微波干燥。微波干燥是利用频率为915-2450MHZ的微波能量使物料发热升温,从而蒸发水分进行干燥的方法。微波干燥不同于传统的干燥方式,其热传导的方向与水分扩散的方向相同。与传统干燥方法相比,微波干燥具有干燥速率快、节能环保、生产效率高、清洁生产、干燥效果优良、易于实现自动化操作及控制以及可以提高产品质量等优点。
目前有的厂家生产的涂布机用的热风干燥,也用风嘴送风,从形式上看和冲击干燥类似,但是其风嘴的结构设计和风量及风速都起不到冲击效果,干燥过程仍属对流干燥,干燥效率不高。
干燥是指用加热的方法使水分或其它溶剂汽化,并将产生的蒸气排除,藉此来除去固体物料中湿分的操作。

图7 干燥过程示意图
如图7所示,水分在物料表面气化,在表面附近存在一层气膜,在气膜内水蒸气分压等于物料中水分的蒸气压,水分在气相中的传质驱动力为此气膜蒸气压与气相主体中水蒸气分压之差。同时,热空气对物料加热升温,将热量传递给湿物料,驱动力是热空气与物料的温度梯度;对对流干燥,由于介质的不断流动,带走气化的水分,从而形成分压差。极片干燥过程详见:锂电池极片湿涂层干燥基本过程。
目前,蒸发阶段是电极制造过程中的限速步骤,通常持续1-2分钟,由于高蒸发速率下粘合剂和导电添加剂会迁移到极片表面,缩短干燥时间会限制,而且这种向上的扩散在高温下发生得更快。
温度对极片辊压得影响
与冷轧相比,热轧主要有以下优点:
1)可以减少约50%的极片反弹;
2)利用较小的轧制力即可将极片的厚度压缩到工艺需求的厚度,轧制力最大可减小62%;
3)增强涂层材料与集流体的结合力,减少电池在充放电循环过程中掉粉情况的发生,提高电池的循环寿命。
刘斌斌等实验采用LiFePO4作为正极材料,锂片作为负极材料,制成扣式锂离子电池,以面密度、压实密度和厚度一致性三个参数为指标,考察了正极片的轧制温度对电池极片和电池电化学性能的影响。

图8 不同轧制温度下的极片厚度
图8为涂敷厚度为 100 μm 的极片在不同轧制温度下的厚度曲线,如图所示,随着轧制温度由 20°C 增加为 90°C 再增加为 160°C,极片厚度偏差由±1.9μm 降低为±1.3 μm 再降低为±0.8μm,极片厚度一致性逐渐提高,这是因为随着轧制温度的增加,极片涂层变形抗力减小,可塑性变好,使得极片表面厚度更加均匀。

图9 各样品电池的库仑效率
图9是各样品电池的库伦效率,3#、8#、9#分别为160°C、90°C 、20°C条件下辊压极片制作的电池。由图3可见,当轧制温度从 20°C 提高到 90°C 再提高到 160°C 时,样品的库仑效率也有所提高。库仑效率是在同一充放电循环中放电比容量与充电比容量的比率,极片的厚度一致性提高时电阻就会降低,库仑效率也会相应提高。

图10 各样品电池的循环伏安性能
图 10为各样品的循环伏安性能曲线,3#、8#、9#分别为160°C、90°C 、20°C条件下辊压极片制作的电池。由图可见实验样品中当轧制温度为 160°C 时,向上的氧化峰与向下的还原峰对称性较好,峰位差也最小,充电和放电的可逆性也最好,证明库仑效率必然也高。(刘斌斌. 动力锂离子电池极片精密制造理论与实验研究[D]. 太原科技大学, 2017.)
近来,锂离子电池要求极片预热到140℃轧制,在轧制过程中,涂层中的粘结剂发生软化,使极片压实更加容易,同时确保极片不发生反弹现象。这样辊面温度就要求180℃,目前传统的Cr2、Cr3、Cr5系列冷轧辊材料会发生软化,开发高温轧机,轧辊需要更换材料,确保高温条件下轧辊满足轧制要求。
铝箔加热退火减弱极片辊压翘曲
对于卷绕电池,有一种全极耳极片设计,从极耳角度提高了电池功率特性,在大倍率下电流密度分布均匀,具体的极片设计如图11所示。正极极片在涂敷正极材料(30)时一侧边缘不涂布的侧面(15)和负极极片涂覆负极材料(40)时留白的一侧面(14)都作为极耳分别焊接在正负极导流体上,正负极极片之间通过隔膜(170)隔离开,这样电流流经的距离短,可以实现高功率密度,极片发热量也小。

图11 全极耳卷绕方形电池
这种极片采用连续涂布工艺,在极片两侧留出不涂布的留白区域。但是,这种极片在辊压过程中特别容易出现涂层边缘褶皱和翘曲现象,如图12所示。由于辊压时,极片涂布部分受压力作用延展变形,而留白部分无变形,这种变形的不同步在留白处形成褶皱。而且极片中间部分延展长度增加,而留白边缘长度不发生变化,最终导致极片产生翘曲,影响后续的分切、卷绕工作,收放卷时极片从留白部分断裂。在辊压前对留白部分加热退火处理,铝箔晶粒回复再结晶,由典型的轧制带状变成等轴状,内应力逐渐消除,铝箔塑性升高,质感变软,同时电阻降低,从而在辊压过程中,留白部分能够与涂布区域一起协同变形,极片翘曲程度降低,留白处无褶皱。

图12 铝箔加热退火示意图及效果
以上是温度对锂离子电池极片工艺影响的整理,希望对大家有所帮助,不对之处请大家批评指正,不全面的欢迎大家多补充。
本文链接:https://www.nxebattery.com{dede:field.arcurl/}
诺信新闻,诺信公司新闻,锂电池行业新闻,展会新闻
上一篇:锂电池极片导电剂用量理论估算
下一篇:锂电池极片湿涂层干燥基本过程






